关注公众号
请登录 免费注册
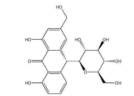
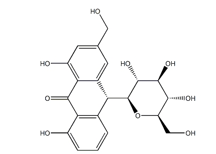
芦荟苷
英文名:Aloin(mixture of A&B)
CAS号:8015-61-0
分子式:C21H22O9
分子量:418.3940
保存温度:RT
货号 规格 品牌 库存 市场价 会员价 加入购物车
A877320-5g 5g MackLin麦克林
¥215.00
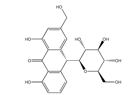
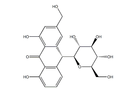
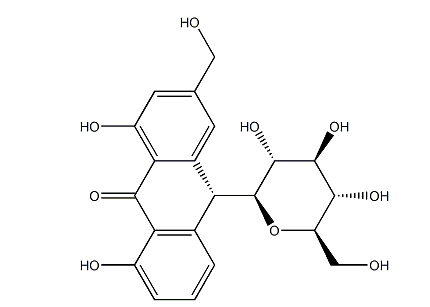
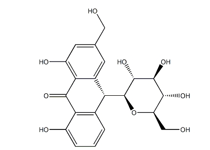
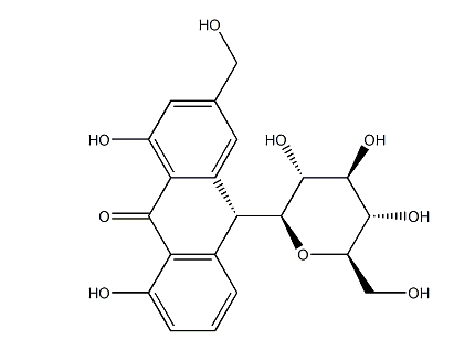
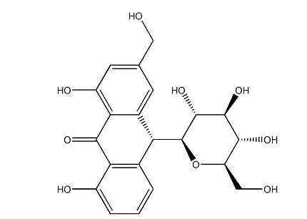
中文名称 芦荟苷
中文别名 芦荟苷(A&B);芦荟苷;芦荟苷(A&B)标准品;芦荟苷素;芦荟素;芦荟提取液;芦荟大黄素甙;葡糖基蒽酮;芦荟苷提取液;芦荟苷(A&B)、芦荟甙(A&B)
英文名称 Aloin(mixture of A&B)
英文别名  ALOIN, POWDER;Aloin A;Aloin(mixture of A&B);Aloin B;aloin;Isobarbaloin;69VIB0J2WK;Aloinum;Aloin [BAN];10-(1',5'-Anhydr;1,8-dihydroxy-3-(hydroxymethyl)-10-[3,4,5-trihydroxy-6-(hydroxymethyl)oxan-2-yl]-9,10-dihydroanthracen-9-one;20226-90-8;73649-93-1;1,8-dihydroxy-3-(hydroxymethyl)-10-(3,4,5-trihydroxy-6-(hydroxymethyl)tetrahydro-2H-pyran-2-yl)anthracen-9(10H)-one;NSC-374117;1,8-dihydroxy-3-(hydroxymethyl)-10-[3,4,5-trihydroxy-6-(hydroxymethyl)oxan-2-yl]-10H-anthracen-9-one;SBI-0653841.0001;NSC374117;10-Glucopyranosyl-1,8-dihydroxy-3-(hydroxymethyl)-9(10H)-anthracenone;NCI60_001856;Barbaloin;NCI60_003874;ANTHRONE,8-DIHYDROXY-3-(HYDROXYMETHYL);1,5-anhydro-1-[4,5-dihydroxy-2-(hydroxymethyl)-10-oxo-9,10-dihydroanthracen-9-yl]hexitol;MLS006011832;Jafaloin;BCP25762;Ugandaloin;1ST40099;AFHJQYHRLPMKHU-UHFFFAOYSA-N;Aloin-B;Isobarbaloin;NSC631263;VS-08686;8015-61-0;SCHEMBL13990758;NSC-374116;STL146381;Socaloin;ALOINE B;10-b-D-Glucopyranosyl-1,8-dihydroxy-3-(hydroxymethyl)-9(10H)-anthracenone, 9CI;DTXSID70859643;NSC407305;Aloin-A;ALOINE A;CHEMBL123026;AKOS005720865;SMR004703497;5133-19-7;Aloin-A; Barbaloin-A;Barbaloin;BCP13735;Aloin-A; Barbaloin-A;Isobarbaloin;NSC-227189;BBL028189;9(10H)-Anthracenone, 10-D-glucopyranosyl-1,8-dihydroxy-3-(hydroxymethyl)-, (10R)-;Cafaloin;NSC374116;NSC-631263;SY232624;DB-050215;NSC227189
CAS No. 8015-61-0
分子式 C21H22O9
分子量 418.39
纯度 97%
温馨提示:我公司实验室产品会根据市场需求进行更新,产品详情图片仅供参考,以实际收到货物为准。
象形图
警示语
Class
警告声明
UNub
危险声明
Packing Group
搜索质检报告(COA)
搜索MSDS

相关产品

0.22um一次性针头式滤器,无菌独立包装,亲水PES膜,100个/盒,10盒/箱
加入购物车
柠檬酸二氢铵,98%
加入购物车
BbvI,300units
加入购物车
Mouse IL-4 Recombinant Protein, PeproTech®
加入购物车
DNase/RNase-Free Deionized Water
加入购物车
通用型植物RNA提取试剂盒,50 rxns
加入购物车
芦荟苷,97%
加入购物车
壳聚糖,脱乙酰度≥90%, MW~100000
加入购物车
芦荟提取物,98%
加入购物车
AKT Polyclonal antibody
加入购物车
Phospho-Akt (Ser473) (D9E) XP® Rabbit mAb #4060
加入购物车
胰蛋白酶消化液 (0.25%Trypsin-EDTA,1X),0.25%
加入购物车
丁子香酚,/1 Kit
加入购物车
定量滤纸 直径15cm中速,100张/盒
加入购物车
蛋白上样缓冲液(还原性),10支*1ml
加入购物车
L-Lactic acid,98.18%
加入购物车
Zombie Violet™ Fixable Viability Kit
加入购物车
肿瘤浸润性淋巴细胞培养基 X-VIVO 15
加入购物车
无血清细胞冻存液(无DMSO)
加入购物车
Hanks 平衡盐溶液(HBSS),不含钙、镁离子,含酚红
加入购物车
顶部