关注公众号
请登录 免费注册
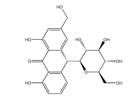
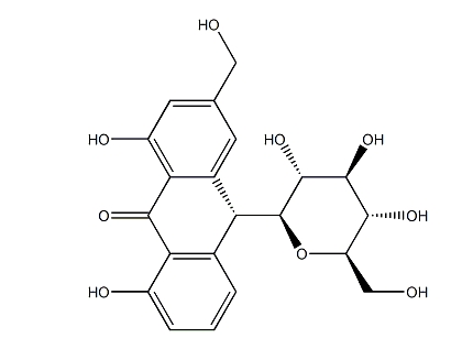
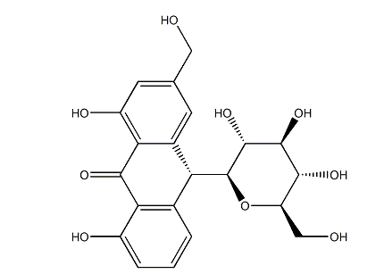
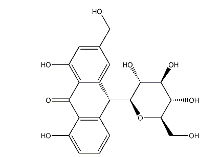
芦荟提取物
英文名:1-(4-Methylphenyl)-3-(3-nitrophenyl)prop-2-en-1-one
CAS号:85507-69-3
分子式:C16H13NO3
分子量:267.279324293137
保存温度:RT
货号 规格 品牌 库存 市场价 会员价 加入购物车
A854440-1g 1g MackLin麦克林
¥402.00
中文名称 芦荟提取物
中文别名 芦荟油;芦荟精;库拉索芦荟(ALOE BARBADENSIS)花提取物;库拉索芦荟(ALOE BARBADENSIS)叶提取物;芦荟提取物;库拉索芦荟凝胶冻干粉;芦荟多糖;芦荟提取液;芦荟提物液(芦荟胶);芦荟油,芦荟提取物[茎叶];天然芦荟油
英文名称 1-(4-Methylphenyl)-3-(3-nitrophenyl)prop-2-en-1-one
英文别名 Aloe vera;Aloe vera, ext.;ALOE BARBADENSIS FLOWER EXTRACT;ALOE BARBADENSIS LEAF EXTRACT;Aloeextractacc.;Aloeveradryextract;ALOEVERA,200:1,POWDER;ALOEVERA,FREEZEDRIDEPOWDER;ALOE EXTRACT;Aloe vera extracts;Aloe vera powder;1-(4-methylphenyl)-3-(3-nitrophenyl)prop-2-en-1-one;NSC640537;1-(4-Methylphenyl)3-(3-nitrophenyl)-2-propen-1-one;(E)-1-(4-methylphenyl)-3-(3-nitrophenyl)prop-2-en-1-one;A831451;(E)-3-(3-nitrophenyl)-1-p-tolylprop-2-en-1-one;(E)-3-(3-nitrophenyl)-1-(p-tolyl)prop-2-en-1-one;(E)-1-(4-methylphenyl)-3-(3-nitrophenyl)-2-propen-1-one;3-(3-(Hydroxy(oxido)amino)phenyl)-1-(4-methylphenyl)-2-propen-1-one;85507;Aloes P.E.
CAS No. 85507-69-3
分子式 C16H13NO3
分子量 267.28
纯度 98%
温馨提示:我公司实验室产品会根据市场需求进行更新,产品详情图片仅供参考,以实际收到货物为准。
象形图
警示语
Class
警告声明
UNub
危险声明
Packing Group
搜索质检报告(COA)
搜索MSDS

相关产品

0.22um一次性针头式滤器,无菌独立包装,亲水PES膜,100个/盒,10盒/箱
加入购物车
柠檬酸二氢铵,98%
加入购物车
BbvI,300units
加入购物车
Mouse IL-4 Recombinant Protein, PeproTech®
加入购物车
DNase/RNase-Free Deionized Water
加入购物车
通用型植物RNA提取试剂盒,50 rxns
加入购物车
芦荟苷,97%
加入购物车
壳聚糖,脱乙酰度≥90%, MW~100000
加入购物车
芦荟提取物,98%
加入购物车
AKT Polyclonal antibody
加入购物车
Phospho-Akt (Ser473) (D9E) XP® Rabbit mAb #4060
加入购物车
胰蛋白酶消化液 (0.25%Trypsin-EDTA,1X),0.25%
加入购物车
丁子香酚,/1 Kit
加入购物车
定量滤纸 直径15cm中速,100张/盒
加入购物车
蛋白上样缓冲液(还原性),10支*1ml
加入购物车
L-Lactic acid,98.18%
加入购物车
Zombie Violet™ Fixable Viability Kit
加入购物车
肿瘤浸润性淋巴细胞培养基 X-VIVO 15
加入购物车
无血清细胞冻存液(无DMSO)
加入购物车
Hanks 平衡盐溶液(HBSS),不含钙、镁离子,含酚红
加入购物车
顶部