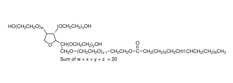
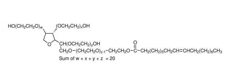
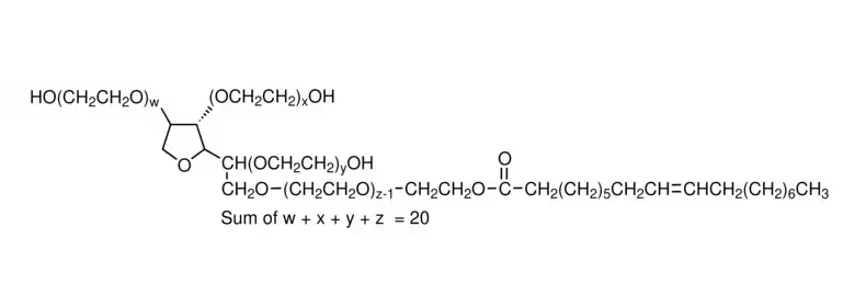
吐温80又称聚山梨酯80,是一种非离子型表面活化剂及乳化剂,化学式为C24H44O6(C2H4O)n。
易溶于水,溶于乙醇、植物油、乙酸乙醇、甲醇、甲苯,不溶于矿物油。
低温时成胶装,受热后复原;有特臭,味微苦。
用法及用量分析:
1、吐温80为油酸酯,有很好的乳化作用,一般用作乳化剂、润湿剂。
建议用量:1%-2%(仅供参考,以实际应用为准)。
2、吐温80是制剂学上常用的增溶剂,根据有关参考文献表示一般用量为1%-2%。
3、吐温80加入量:如果按1%浓度计算,所需吐温80加入量为10ml;同理,若按2%浓度计算,应加入20ml。
4、操作方法:分别取2ml、10ml、20ml的高良姜精油于烧杯中;然后再量取10ml的的吐温80对精油进行溶解,混合均匀后加入蒸馏水稀释到所需的浓度即可。
*以上内容来自网络
